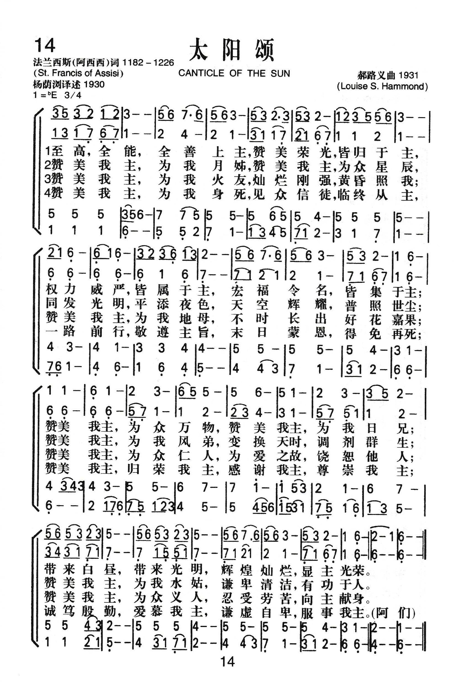
太阳頌   ( Canticle of the Sun )

在线播放和下载:

合唱
四声 下载
女高 下载
女低 下载
男高 下载
男低 下载
伴奏
四声 下载
女高 下载
女低 下载
男高 下载
男低 下载

本首圣诗由网上圣诗班 (青草地)录制

歌谱:1.四声五线谱           2. 四声部简谱

简介(一)   ( 来源:《赞美诗新编史话》

太阳頌   《赞美诗(新编)》第14首
Canticle of the Sun

经文:“耶和华啊,你一切所造的都要称谢你;你的圣民也要称颂你” (诗 145:10)。  

       《太阳颂》是一首拉丁名歌,相传乃圣方济(St.Francis,l182—1226,又译作圣法兰西斯)所作。圣方济出生于意大利的阿西西,故有阿西西的圣方济之称。父亲是个经营纺织业的富商。法兰西斯少年时生活不羁,坐过牢,当过兵。但他23岁那年,生了一场大病,愈后幡然悔悟,改过自新。有一次他在一座破旧的教堂里祈祷,听见微小的声音,要他修复主的圣殿,于是,就出售所有财物,亲手动工修理教堂,以后又到处修堂。他救济穷人,对麻疯病患者尤为关切,时常到他们住处去探望,送钱送饭给他们。他喜欢在宁静的地方长时间潜思默想,一天在礼拜时,听见马太福音第 10章7至 10节的经训,立即起身以传道为己任,情愿受穷吃苦;与他志同道合的人都矢誓受穷,拒绝虚荣。他们按圣经教训,两个两个地出去传道,守穷、施医、救危,亲自劳动以谋生活,这便是现在遍及全球的“方济会”的开始阶段。

圣方济的生活中还有一个突出的特点,即从来不悲伤,不忧愁,总是欢喜快乐。他写了好些诗歌,教他的同仁唱颂,学习他一无挂虑、乐观开朗的性格。他喜爱自然界的一切物类,称它们为小弟兄。据传他曾向小鸟讲道,教导它们感谢上帝养育之恩。这个传说已有画家付之丹青,并流传在人间。又相传他因为经常思念主耶稣在十字架上所受的痛苦及主耶稣的伤痕,以致他自己的身上、手脚上也出现了五个伤痕。后来人们就称 呼他为“圣五伤方济各” (圣五伤法兰西斯)。

1223年圣方济辞去领导的职责,退居旷野灵修祷告,以终余年。就在这段时期,他写成他的名歌《太阳颂》。该颂以诗篇第 145篇为主题,表现出作者泛爱万物的愉快精神。诗的内容别致新奇,称日为兄,月为姐,地为母,火为友,水为妹,目的是说明它们都是神所创造的,应该共同歌颂神奇妙的作为。中英文都有散文和诗本韵文两种译文,英文散文的《万物颂》是著名文学家马太.李诺德所译,脍炙人口;中文的散文译词出自我国名作家谢冰心的手笔,部分译词如下:

“我们的主上帝与他一切被造者,是应当赞美的,尤其是携赐我们白日与光明的弟兄一太阳。他是公正的,且以绝顶的光明照射,他对我们表现了你 !”

“我们的主是应当赞美的,因为有了我们的月姐,以及主安置在天上,使穹苍清朗可爱的众星。”

“我们的主是应当赞美的,因为有了主用以扶持万物生命的,我们的弟兄一风,以及阴沉柔静,各种的天气。”

“我们的主是应当赞美的,因为有了最有用、最谦柔、宝贵、清洁,我们的姐妹一水。”

“我们的主是应当赞美的,因为有了我们的弟兄一火,主藉着他赐黑暗与光明。他是光耀、欢畅、有力而且坚强。”

“我们的主是应当赞美的,因为有了维护我们、保爱我们的母亲一地土。她付于我们以果实、芳草,以及各色的香花。”①圣方济去世后第二年,教皇格列高利9世册封他为圣人,确定了他在天主教的地位。宗教改革以来,新教人士也都景仰他的为人,称他是最像主耶稣的人。

这首《太阳颂》在英文方面还有另一种译词,是英国圣公会牧师邓普中学校长威廉.德雷珀 (W.Draper1855一1933) 译的,也早被译为中文,选人多本赞美诗中。中译首两节如下:

一、主手所造万象生灵,同发声音赞美真神,
哈利路亚,哈利路亚 !
温柔明月光耀目轮,狂风密云清晨黄昏,赞美真神,
赞美真神,哈利路亚,哈利路亚 !

二、清清河水长流不歇,熊熊烈火供人光热,
大山高山无尽宝藏,滋生万物花草芬芳。
(叠句同上一节,调用《新编》第8首。)

       原诗本来只有四节,依序提到日兄、月姐、风弟、水妹、地母之后又增添了五、六、七3节,并有下列动人的传说。据传圣方济作此诗时已经身体软弱,卧床不起。但当他听说阿西西的主教与市长不和,乃派了两名弟兄约他们都到市府大堂说和。先由这两位弟兄向他们唱颂原诗的首四节之后,圣方济特为他们添上第五节,收到很好的效果一主教与市长言归于好。

第五节内容如下:     .

仁心世人遵守主命,饶恕弟兄荣神益人,
世人饱受痛苦忧惊,速将忧虑卸给真神。

         (叠句同上,此节即中译的第三节)。不久医生对方济说:“你在世的日子不长了。”方济不但毫无愁容,反而愉快地添上第六节,内容如下:

大慈大悲死亡使者,等候送我返回天家,
我主耶稣已经先行,战胜死亡进入光明。
然后再加上第七节《荣归三一颂歌》即中译的第四节:
万物赞美造物主宰,都当谦卑向主敬拜。
哈利路亚,哈利路亚 !
赞美圣父圣子圣灵,同声赞美三一真神 !
赞美真神,赞美真神 !
哈利路亚,哈利路亚,哈利路亚 !

       圣法兰西斯的这首诗有些人曾给它配过一些曲调。因此,过去各种赞美诗集中,曾以各种不同的曲调出现过。

《新编》的《太阳颂》是根据《普天颂赞》第19首杨荫浏于1930年译述的韵诗,由美国圣公会来华传教士郝路义 (L.S.Hammond)于1931年特为《普天颂赞》所谱。这首曲调带有中国风味,优美流畅,曲调名为《鸟语 (SUBASIA)》

简介(二)   ( 孙志蓬 提供 )

太阳頌   《赞美诗(新编)》第14首
Canticle of the Sun

耶和华啊,你一切所造的都要称谢你,你的圣民也要称颂你。 诗145:10

教会从使徒时期发展到公元13世纪,表面上看来,哥特式教堂的尖顶耸入云端,教皇英诺森三世(1198-1226)显赫一时,在有些人的心目中,教会兴旺已经到了鼎盛时期。其实,在雄伟的教堂里,繁琐的信条,僵死的教规,堵塞了福音的活水源泉。教会已经离开了“马可楼”(徒1:12-26)和“金银我都没有”(徒3:6)的传统,越走越远了。但基督的福音,使徒的传统,是永不止息的,依然像透过压顶乌云的阳光,千峦万岭下岩缝的泉水一样,藉着一些虔诚爱主的人,在人间照亮、奔流着。圣法兰西斯就是其中极为光辉灿烂的一道彩光,极为纯洁的川流奔腾中的一个浪花。

《至高全能上主》是一首拉丁名歌,相传作者圣法兰西斯(圣方济St.Francis of Assisi ,1182-1226),生于意大利的阿西西,故有阿西西的圣法兰西斯之称。1226年10月3日安息于阿西西的帕幕昂克教堂。他父亲是位经营纺织业的富商。法兰西斯少年行为不羁,坐过牢,当过兵。当他23岁那年,害了一场大病,愈后幡然醒悟,改过自新。一次,在一座破旧的教堂里祈祷,觉得天上有微小的声音对他说,要他修复上帝的圣殿。但他没有从启示的意义来领会这个呼召,就回来将自己的爱马和他父亲仓库里所有的布匹卖掉,去修建阿西西附近的一座残破的圣达米安教堂。为此,他父亲极为恼火,认为这孩子不善于理财,不能继承他的经商事业。后来把他带到主教面前,宣布取消他的继承权。此后,法兰西斯断然宣布除了天上的父之外,地上没有父亲。自己继续在阿西西城附近布道,帮助不幸的人,修建残破的教堂。

据传,法兰西斯有一次跪倒在主耶稣钉十字架的圣像前,苦苦地哀求主引领他的时候,看见十字架上的主耶稣弯下腰来,慈祥地对他说:“起来,抛弃世界,来跟从我。”顿时,主的灵充满了他的心,主的爱淹没了他自己,除了爱主之外,什么也不能吸引他的心,从此过着绝对贫穷的生活,终生传主的福音。

法兰西斯虽然不背叛教皇,更没有像宗教改革家们那样向教皇制度发起进攻,甚至在他去世后2年,教皇格列高利九世(1227-1241)还册封他为“圣人”,确定了他在天主教中的地位。宗教改革以来,新教人士也都景仰他的为人,称他是最像主耶稣的人。但圣法兰西斯所倡导的使徒式的贫穷,传天国和悔改的福音,这种行为的本身,就是对教皇骄奢淫逸,教廷腐朽败坏的控诉的审判。实际上,这正是法兰西斯真正遵行了上帝给他的那个命令:“修复上帝倒塌的圣殿”。我们可以这样说,教皇制度的没落,宗教改革的勃兴,圣法兰西斯都曾无声无息地献出他可贵的贡献!

圣法兰西斯布道的主要方法之一是唱圣诗,这对当时的正统教会来说是破格的,可对群众来说是新颖有力,感人肺腑的。这样一种冲破旧传统的束缚,发扬新鲜而真实,活泼又顽朴的创造精神的动力,给当时的文学艺术带来了新生的春风,的确可以说是文艺复兴时期的一股激流。伟大的意大利诗人但丁(Dante Alighieri,1265-1321)能够用自己内心澎湃的鲜血,写出不朽的诗篇——《神曲》这一名作,因为他就是圣法兰西斯修会的一员。

圣法兰西斯的生活中还有一个突出的特点,即从来不悲伤,不忧愁,总是欢喜快乐。他写了好些诗歌,教他的同仁唱颂,学习他一无挂虑、乐观开朗的性格。他喜爱自然界的一切物类,称他们为小兄弟。据传他曾向小鸟讲道,教导它们感谢上帝养育之恩。这个传说已有画家付之丹青,并流传在人间。又相传他因为经常思念主耶稣在十字架上所受的痛苦及主耶稣的伤痕,以致他自己的身上、手脚上也出现了五个伤痕。后来人们就称呼他为“圣五伤法兰西斯”(圣五伤方济各)。

1223年,法兰西斯辞去领导职责,退居旷野灵修祷告以终余年。就在这段期间,他写成他的名歌《至高全能上主》。该颂根据《诗篇》第145篇为主题,表现作者泛爱万物的愉快心情。诗的内容别致新奇,历代脍炙人口,称日为兄,月为姊,风为弟,水为妹,火为友,地为母……。目的是说明它们都是上帝创造的,应该共同歌颂上主奇妙的作为。

曲调由美国圣公会来华传教士郝路义(Louise S.Hammond)于1931年特为此歌所谱。曲调带有中国风味,优美流畅,调名《鸟语(SUBASIA)》。美国人按中国韵律谱写的优美曲调十分鲜见。与西洋颂赞的感觉不同,中国风格曲调的颂赞带有内省、祷告的感觉,别有风味。多思想歌词的意义,会帮助我们融入这首诗歌。

歌词由杨荫浏译述于1930年。